AREAS Revista Internacional de Ciencias Sociales, 48/2025 “Migraciones y reproducción social”, pp. 141-163. DOI: https://orcid.org/0000-0002-4506-680X.
Reproducción sociodemográfica de los inmigrantes y descendientes portugueses en Estados Unidos: una comunidad consolidada y con larga tradición
Nachatter Singh, Centro de Estudios Demograficos, UAB
Alda Botellho Azevedo, ICS, Lisbon University
Resumen
Aunque la inmigración portuguesa en los Estados Unidos tiene una larga historia, existe un conocimiento limitado sobre su reproducción sociodemográfica en el siglo XXI. Este artículo pretende llenar este vacío, proporcionando una visión actual de las personas nacidas en Portugal o con ascendencia portuguesa y que viven en los Estados Unidos. Utilizamos los micro datos quinquenales de la American Community Survey, que abarcan desde 2006 hasta 2022, para 1) explorar el proceso migratorio de los inmigrantes portugueses y el tamaño y la composición de la población portuguesa en los Estados Unidos; 2) examinar la distribución espacial de los inmigrantes portugueses y sus descendientes en diferentes estados de Estados Unidos; 3) para explorar el perfil sociodemográfico de los inmigrantes portugueses y sus descendientes y cómo está evolucionando durante las últimas décadas. Los resultados revelan que los inmigrantes y descendientes portugueses se han reproducido socio demográficamente con éxito durante un siglo y forman una vibrante comunidad en diferentes partes de Estados Unidos. En general, superan a la población residente en Estados Unidos en diversos indicadores socioeconómicos, aunque existen diferencias significativas entre ellos.
Palabras clave: migración internacional; reproducción sociodemográfica; distribución espacial; población portuguesa; Estados Unidos.
Sociodemographic Reproduction of Portuguese Immigrants and There Descendants in the United States: A Consolidated Community with a Longstanding Tradition
Abstract
Although Portuguese immigration to the United States has a long history, there is limited knowledge about its socio-demographic reproduction in the 21st century. This paper aims to fill this gap by providing a current overview of people born in Portugal or of Portuguese descent and living in the United States. We use five-year micro data from the American Community Survey, covering 2006 to 2022, to 1) explore the migration process of Portuguese immigrants and the size and composition of the Portuguese population in the United States; 2) examine the spatial distribution of Portuguese immigrants and their descendants in different states in the United States; 3) to explore the socio-demographic profile of Portuguese immigrants and their descendants and how it is evolving over the last decades. The results reveal that Portuguese immigrants and descendants have successfully reproduced socio-demographically for a century and form a vibrant community of Portuguese origin in different parts of the United States. Overall, they outperform other U.S. residents on several socioeconomic indicators, although there are significant differences between them.
Key words: international migration; socio-demographic reproduction; spatial distribution; Portuguese population; United States.
Fecha de recepción del original: 6 de septiembre de 2024; version final: 21 de julio de 2025.
- Nachatter Singh, Centro de Estudios Demograficos, UAB. E-mail: nsingh@ced.uab.es; ORCID ID: https://orcid.org/0000-0002-4506-680X.
- Alda Botelho Azevedo, Instituto de Ciências Sociais, Universidade de Lisboa. E-mail: acazevedo@edu.ulisboa.pt; ORCID ID: https://orcid.org/0000-0002-1096-2954.
Reproducción sociodemográfica de los inmigrantes y descendientes portugueses en Estados Unidos: una comunidad consolidada y con larga tradición
Nachatter Singh, Centro de Estudios Demograficos, UAB
Alda Botellho Azevedo, ICS, Lisbon University
1. Introducción
La inmigración portuguesa a los Estados Unidos tiene una larga y poco estudiada historia. Desde la llegada de los primeros marineros, las diferentes oleadas de inmigración portuguesa han contribuido a la formación de una comunidad inmigrante de personas nacidas en Portugal y asentadas permanentemente en los Estados Unidos y sus descendientes. Durante este tiempo, la población portuguesa en Estados Unidos ha experimentado una transformación significativa en su perfil demográfico y socioeconómico, pasando de estar compuesta mayoritariamente por inmigrantes de origen rural a constituir una comunidad diversa integrada principalmente por descendientes nacidos en el país. La transmisión intergeneracional de la lengua, las prácticas culturales y el capital social ha desempeñado un papel clave en la preservación de la identidad portuguesa en un entorno marcadamente multicultural (Azevedo et al . 2025). Este fenómeno no es exclusivo de los portugueses: comunidades como la italiana o la polaca también mantuvieron vivos sus referentes culturales – en particular, la lengua – mientras se integraban progresivamente en la sociedad estadounidense (Fishman, 1991; Alba, 1990).
En el siglo XXI, el perfil de los inmigrantes portugueses y descendientes en Estados Unidos y su distribución espacial han cambiado considerablemente. En este artículo, utilizando microdatos de la American Community Survey (ACS), proporcionada por IPUMS USA (Steven et al . 2024), vamos a estudiar el proceso de reproducción sociodemográfica y cambio de perfil de la población portuguesa o de origen portugués en los Estados Unidos entre 2006 y 2020. Sobre la base del lugar de nacimiento, la nacionalidad, el idioma y la condición de ascendencia, clasificamos a la población portuguesa en cuatro grupos: inmigrantes portugueses, inmigrantes naturalizados, descendientes lusófonos y descendientes no lusófonos. Nos proponemos alcanzar los siguientes objetivos: 1) explorar el proceso migratorio de los inmigrantes portugueses, el tamaño y la composición de la población portuguesa en los Estados Unidos; 2) examinar la distribución espacial de los inmigrantes portugueses y sus descendientes en diferentes estados de Estados Unidos; 3) examinar el perfil sociodemográfico de estas poblaciones y cómo ha evolucionado entre 2006 y 2020. El enfoque de este artículo está, sin embargo, en la reproducción sociodemográfica y en la transformación de las comunidades inmigrantes y de descendientes portugueses.
Este artículo consta de cinco secciones. La segunda sección presenta una breve historia de la evolución del sistema migratorio portugués-estadounidense. La tercera sección presenta las fuentes de datos utilizadas en este estudio. La cuarta sección analiza las características demográficas, la distribución espacial y el perfil social de los inmigrantes portugueses en Estados Unidos. La quinta y última sección ofrece algunas observaciones finales sobre el funcionamiento del sistema migratorio portugués-estadounidense y la reproducción sociodemográfica de la comunidad portuguesa en los Estados Unidos.
2. Breve historia del sistema migratorio portugués a los Estados Unidos
La emigración portuguesa a Estados Unidos. ha estado caracterizada por sucesivas oleadas migratorias que han contribuido de manera significativa a la conformación de comunidades dinámicas de origen portugués en diversos estados del país. La historia de la migración portuguesa a Estados Unidos se organiza comúnmente en la literatura científica según períodos, marcados por los factores socioeconómicos de la población migrante y el marco legislativo de inmigración en los Estados Unidos, que influyen en estos movimientos (ver Almeida, 2009). Recientemente, Malheiros y Silva (2023) proponen una clasificación en cinco fases que, basada en las anteriores contribuciones de otros autores, nos ayuda a enmarcar y comprender los flujos migratorios de Portugal a los Estados Unidos.
Como sistema migratorio continuo, la migración portuguesa tiene su primera fase entre 1800 y 1870. Principalmente vinculada a la captura y procesamiento de ballenas, esta actividad tenía sus principales centros en Nueva Inglaterra, especialmente en New Bedford y Nantucket, en el estado de Massachusetts. Además de este destino principal, los portugueses en esta fase también migraron a California (Sacramento, Monterey) y Hawái, atraídos por la fiebre del oro y las actividades agrícolas en California, así como por las plantaciones de caña de azúcar en Hawái (Williams, 1982; Ribeiro, 2000; Malheiros y Silva, 2023). En 1870, había al menos 9.000 portugueses en los Estados Unidos, la gran mayoría provenientes de las Azores, y un tercio de ellos residentes en Massachusetts. Sin embargo, el número real probablemente era mucho mayor debido a la emigración ilegal (Almeida, 2009).
La segunda fase se produjo en el periodo 1870/1880-1920. Las dificultades económicas y la inestabilidad política en Portugal, incluido el declive de la monarquía y el establecimiento de la República Portuguesa en 1910, impulsaron a muchos a emigrar. La mayoría de los inmigrantes portugueses de este periodo procedían de las Azores, empujados por la pobreza, los desastres naturales y las escasas oportunidades en las islas. Este periodo vio un aumento significativo los flujos migratorios hacia Hawái para trabajar en las plantaciones de caña de azúcar (Freitas 1930), y un movimiento hacia Rhode Island, Massachusetts y California. Los portugueses se dispersaron hacia nuevas regiones debido a cambios económicos, como la reestructuración de la industria ballenera y textil en Nueva Inglaterra, y el proceso de urbanización en los Estados Unidos. Se desarrollaron comunidades en Connecticut, Nueva Jersey, Nueva York y San Jose en California. Predominaron los orígenes azorianos, con características de inmigración laboral de zonas rurales y baja educación. Por lo tanto, no es de extrañar que, históricamente, el nivel educativo de los inmigrantes portugueses fuera muy bajo (Baganha, 1991), algo que cambiaría en el siglo XXI (Tavares e Azevedo, 2023). Según el censo de 1900, vivían al menos 21,6 mil portugueses, principalmente en Massachusetts, Rhode Island y Connecticut. En las primeras tres décadas del siglo XX, cerca de 188,9 mil portugueses emigraron a los Estados Unidos (Almeida, 2009). Estos inmigrantes se enfrentaron a condiciones de vida muy duras en los Estados Unidos, tanto en términos de vivienda como de trabajo en la industria (Ribeiro 2000).
La tercera fase, entre 1920 y mediados de la década de 1950, se caracteriza por una disminución significativa de la emigración portuguesa a los Estados Unidos, en parte debido a restricciones legales y contingentes de cuotas a la inmigración (Baganha, 1988; Malheiros y Silva, 2023). Sin embargo, durante este período, las comunidades ya establecidas en Nueva Inglaterra y California se fueron consolidando (Almeida, 2009). Tras la Segunda Guerra Mundial, llegó otra importante oleada de inmigrantes portugueses, motivada por las oportunidades económicas de Estados Unidos y los esfuerzos de reconstrucción de la posguerra.
Las dos fases más recientes corresponden a las últimas seis décadas y constituyen lo que Malheiros y Silva (2023) denominan contemporáneas en sentido amplio, en contraposición a las primeras tres, que los autores consideran fases de comunidades de memoria. La cuarta fase, que transcurre entre mediados de la década de 1950 y mediados de la década de 1980, es impulsada en gran medida por el flujo migratorio de las Azores, aunque también involucró a muchas personas de regiones del continente. Tras la erupción del volcán Capelinhos en la isla de Faial en 1957, y hasta 1965, los azorianos se beneficiaron de condiciones excepcionales para la emigración portuguesa a los Estados Unidos (Almeida, 2009; Rocha et al ., 2011). Hubo un aumento considerable del influjo de portugueses a Estados Unidos, que se vio reforzado a partir de 1965 tras el Hart-Celler Act de 1965, donde cada país tenía una cuota máxima de visas asignada. Aunque Portugal tenía una cuota máxima de 20 mil visas por año, este número nunca se alcanzó. Solo en algunos años, entre 1976 y 1980, se lograron superar las 10 mil visas emitidas (Almeida, 2009).
La quinta y más reciente fase del flujo migratorio portugués a los Estados Unidos, desde mediados de la década de 1980 hasta la actualidad, se caracteriza por una clara reducción en el número de llegadas, que ha disminuido a menos de mil por año desde 2007, con la excepción del año 2016 (Observatório da Emigração, 2024). Esto contrasta con los flujos de cerca de 13 mil llegadas anuales que se registraron tras la ampliación de cuotas en 1965. Las restricciones en la política de inmigración estadounidense, la incorporación de Portugal a la Comunidad Económica Europea en 1986 y la posibilidad de libre circulación en el espacio europeo desde finales de los años 80 hasta la actualidad, contribuyen a explicar la disminución del flujo migratorio.
En 2020, dos siglos y dos décadas después del inicio de la migración portuguesa a los Estados Unidos, 1,36 millones de personas se identifican como inmigrantes y/o descendientes de portugueses en la ACS.
3. Reproducción sociodemográfica y trayectorias de integración de las comunidades migrantes
En las últimas décadas, la investigación sobre comunidades migrantes ha prestado creciente atención a los procesos de continuidad intergeneracional, no solo en términos culturales, sino también en sus dimensiones demográficas, sociales y espaciales. En este marco, el concepto de reproducción sociodemográfica alude a la persistencia y transformación de las características básicas de una población – como la estructura por edad, el tamaño del hogar, los patrones de residencia o las dinámicas educativas y laborales – a lo largo de generaciones. Este proceso está estrechamente vinculado con la reproducción social, entendida como la transmisión intergeneracional de capitales (económico, cultural y social) que condicionan las oportunidades de integración y movilidad dentro de la sociedad de acogida (Bourdieu, 1977).
Estudios recientes han subrayado que los descendientes de inmigrantes no siguen trayectorias lineales de asimilación, sino que desarrollan estrategias híbridas de pertenencia, negociando entre los marcos culturales heredados y los nuevos contextos sociales en los que crecen. La noción de integración segmentada, propuesta por Portes y Zhou (1993), ha sido clave para comprender estas trayectorias diversas, especialmente cuando se intersectan con factores como la clase social, la etnicidad o las políticas migratorias del país receptor. En este enfoque, el éxito de las segundas generaciones no puede darse por sentado y depende en gran medida del acceso a recursos institucionales, del entorno familiar y comunitario, y de las formas de discriminación estructural a las que puedan enfrentarse.
En el caso de las comunidades portuguesas en Estados Unidos, esta complejidad también está presente. Las trayectorias de los portugueses y sus descendientes no pueden analizarse únicamente desde el prisma de la asimilación cultural, sino que requieren una mirada multidimensional que considere aspectos lingüísticos, económicos, sociales y territoriales (Azevedo et al ., 2025). A pesar de haber sido históricamente invisibilitzada en el imaginario migratorio estadounidense por su clasificación ambigua entre blancos y latinos, los portugueses han desarrollado mecanismos de reproducción cultural y social, transmitiendo valores familiares, prácticas comunitarias y, en ciertos casos, la lengua portuguesa, a lo largo de varias generaciones.
Asimismo, la literatura contemporánea sobre migración transnacional ha enriquecido este debate, señalando que muchos descendientes de inmigrantes mantienen vínculos simbólicos, afectivos e incluso materiales con los países de origen de sus familias. En este sentido, conceptos como etnicidad simbólica (Gans, 1979) o comunidades translocales (Levitt & Glick Schiller, 2004) permiten comprender cómo se articulan identidades que no están ancladas exclusivamente en el lugar de residencia, sino que se construyen a partir de redes de pertenencia múltiples.
Los estudios sobre la población de origen portugués en Estados Unidos reflejan estas dinámicas. El capital social generado por redes comunitarias, la valorización del ascenso educativo en las generaciones más jóvenes, y la movilidad residencial hacia espacios suburbanos son algunos de los indicadores de una reproducción sociodemográfica compleja, que combina elementos de continuidad y cambio. Entender estos procesos requiere superar los enfoques estáticos y abordar las comunidades migrantes como realidades dinámicas que evolucionan en interacción constante con su entorno social, institucional y económico.
4. Fuentes de datos
Este estudio se basa en la American Community Survey (ACS), una encuesta administrada anualmente desde el año 2000 a unos 15 millones de personas y más de 3,5 millones de hogares, representativos de la población residente en Estados Unidos a diferentes niveles geográficos (Oficina del Censo, 2020). La ACS es una encuesta aplicada sistemáticamente que proporciona anualmente datos demográficos, sociales, económicos y de vivienda fiables y actualizados (Census Bureau, 2017). Este trabajo utiliza tres muestras de Micro datos de Uso Público (PUMS) de la ACS: 2006-2010, 2011-2015 y 2016-2020. Los micro datos permiten múltiples tabulaciones a partir de la información recopilada que los datos agregados no podrían ofrecer. Dado que estos datos contienen información personal (estado de salud, por ejemplo), se requiere su anonimizarían para evitar la identificación de los encuestados. Una consecuencia del proceso de anonimizarían es que limita la desagregación de las áreas geográficas a un umbral mínimo de 100.000 personas por Área de Micro datos de Uso Público (PUMA). Cuando se requiere una mayor precisión estadística y las poblaciones estudiadas son pequeñas, como es el caso de los inmigrantes y descendientes portugueses en Estados Unidos, es más apropiado utilizar micro datos para periodos de cinco años (Census Bureau, 2020). Los datos para un período de cinco años incluyen registros para cerca del 5% de la población de Estados Unidos.
Adoptando en este artículo la tipología de comunidad portuguesa o con vínculos portugueses definida en Azevedo et al . (2023), que combina la ciudadanía, el lugar de nacimiento, la lengua hablada en casa y la ascendencia, estudiamos cuatro grupos.
1) Inmigrantes portugueses: individuos que nacieron en Portugal, hablan portugués, pero no tienen la ciudadanía estadounidense.
2) Inmigrantes naturalizados: individuos que nacieron en Portugal, hablan portugués, pero han adquirido la ciudadanía estadounidense.
3) Descendientes lusófonos: individuos que indican tener orígenes portugueses, que no nacieron en Portugal y hablan portugués.
4) Descendientes no lusófonos: individuos que indican tener orígenes portugueses, que no nacieron en Portugal y no hablan portugués.
5. La migración portuguesa a Estados Unidos
5.1 Población portuguesa en Estados Unidos
Entre 2016 y 2020, se estima que en Estados Unidos residen 1,27 millones de personas nacidas en Portugal o con vínculos portugueses, lo que representa el 0,41 % de la población total. El grupo más numeroso lo conforman los descendientes de portugueses que no hablan portugués, con un total de 986.003 personas (77,51 % del total). Les siguen los descendientes de portugueses que sí hablan portugués, con 149.339 personas (11,74 %), los inmigrantes portugueses naturalizados como ciudadanos estadounidenses, con 98.810 personas (7,77 %), y, por último, los inmigrantes portugueses no naturalizados, con 37.888 personas (2,98 %) (Tabla 1).
Tabla 1. Inmigrantes y descendientes portugueses y otros residentes en Estados Unidos (nº), 2006-2010, 2011-2015 y 2016-2020
|
2006–2010 |
2011–2015 |
2016–2020 |
|
|
Descendientes no lusófonos |
1,012,190 (± 16,272) |
992,592 (± 21,475) |
986,003 (± 22,032) |
|
Descendientes lusófonos |
145,987 (± 5098) |
134,758 (± 4867) |
149,339 (± 6584) |
|
Inmigrantes naturalizados |
102,266 (± 3600) |
99,153 (± 3941) |
98,810 (± 4235) |
|
Inmigrantes portugueses |
57,589 (± 3244) |
46,876 (± 3017) |
37,888 (± 2920) |
|
Subtotal |
1,318,032 |
1,273,379 |
1,272,040 |
|
Resto de la población |
282,528,818 (± 14,753) |
295,365,688 (± 16,802) |
305,678,442 (± 18,326) |
|
Total |
283,846,850 |
296,639,067 |
306,950,482 |
Nota: márgenes de error con un nivel de confianza del 95% entre paréntesis.
Fuente: Micro datos de la Encuesta sobre la Comunidad Estadounidense (ACS).
Figura 1. Evolución de la estructura de la población de diferentes grupos de inmigrantes portugueses en EE.UU., 2006-2010, 2011-2015 y 2016-2020.

Fuente: Micro datos de la Encuesta sobre la Comunidad Estadounidense (ACS).
En términos de evolución temporal, las comunidades de personas nacidas en Portugal o con vínculos portugueses han ido en declive a lo largo del siglo XXI. Su población disminuyó un 3,49% (45.992 individuos) entre 2006-2010 y 2016-2020, y la proporción de inmigrantes y descendientes portugueses en la población estadounidense cayó del 0,46% al 0,41%. Los descendientes lusófonos es el único grupo, entre los cuatro grupos considerados, que escapó a esta tendencia a la baja: en realidad subió en 3.352 individuos (2,3%) entre 2006-2010 y 2016-2020 - a pesar de una fuerte caída de 11.229 personas (-7,69%) en el quinquenio intermedio (2011-2015). El número total de lusófonos en los Estados Unidos no ha aumentado porque el modesto aumento de los descendientes lusófonos fue compensado por una caída en el número de inmigrantes portugueses y de inmigrantes naturalizados (19.701 y 3.456 menos entre el primer y el último quinquenio, respectivamente), lo que llevó a una disminución en el número de hablantes de portugués de 19.805 individuos.
Un análisis detallado de las pirámides de población de los diferentes grupos de población portugueses muestra que, durante las dos últimas décadas, la proporción de adultos (15-65 años) y jóvenes (0-14 años) ha disminuido en la población total del 18,8% y 67,8% en 2006-2010 al 14,8% y 66,5% en 2016-2020, respectivamente. Por el contrario, la proporción de población de edad avanzada (más de 65 años) ha aumentado del 13,4% en 2006-2010 al 18,8% en 2016-2020. Entre los grupos seleccionados, en 2016-2020, la proporción de jóvenes es mayor en los Descendientes no lusófonos (17,3%) y menor en los Inmigrantes naturalizados (0,2%). Al mismo tiempo, los Descendientes lusófonos (80,1%) tenían la mayor proporción de adultos, seguidos de los Inmigrantes portugueses (71,3%) y los Descendientes no lusófonos (65,7%). Por el contrario, los Inmigrantes naturalizados (54,3%) tenían la menor proporción de población adulta. En cuanto a la población de edad avanzada, los Inmigrantes naturalizados (45,5%) tienen la cuota más alta y los Descendientes lusófonos (10%) la más baja (Figura 1).
En cuanto a la distribución por sexos de la población portuguesa, la proporción de mujeres ha seguido siendo superior a la de hombres durante las dos últimas décadas. La proporción de sexos ha disminuido de 0,96 hombres por mujer en 2006-2010 a 0,94 hombres por mujer en 2016-2020. Esta feminización de la población portuguesa también está relacionada con la mayor esperanza de vida de las mujeres y el descenso de la migración de los hombres a Estados Unidos. Entre los grupos seleccionados, en 2006-2010, los Inmigrantes naturalizados tenían la proporción de sexos más baja, de 0,85 hombres por mujer, seguidos de los Descendientes lusófonos (0,90) y los Descendientes no lusófonos (0,97). Sólo Inmigrantes portugueses tenía la proporción de sexos a favor de los hombres (1,19). En 2016-2020, Inmigrantes naturalizados (0,81), Descendientes no lusófonos (0,96) e Inmigrantes portugueses (1,13) se feminizan; sin embargo, la proporción de sexos de Descendientes lusófonos se mantiene sin cambios (Figura 1).
5.2. Distribución espacial de los inmigrantes y descendientes portugueses en Estados Unidos.
La distribución actual de la población portuguesa en Estados Unidos es el resultado de diferentes ciclos de inmigración desde Portugal continental y sus archipiélagos atlánticos (Azores y Madeira) y, más tarde, de distintas regiones de Portugal continental. Históricamente, las principales zonas de asentamiento portugués en Estados Unidos fueron Massachusetts, California y Hawái. Estos tres estados ofrecían oportunidades económicas muy diferentes a los recién llegados, lo que afectó a su estatus socioeconómico, nivel de integración y distribución espacial en Estados Unidos. En Massachusetts, en una época en la que la industria textil atraía a inmigrantes de diferentes destinos, los portugueses, presentes desde principios del siglo XIX, fueron sustituyendo sus empleos en la industria ballera por oportunidades de trabajo poco cualificado en la industria textil (Baganha, 1991; Almeida, 2009). Así se establecen permanentemente los portugueses en Massachusetts y en los estados vecinos de Rhode Island y Connecticut. Estos asentamientos actuaron como puntos de atracción para nuevos inmigrantes portugueses y comenzaron a crecer rápidamente bajo las condiciones excepcionales para la emigración portuguesa a los Estados Unidos tras el Azorean Refugee Act (1958) y Hart-Celler Act (1965). En California, muchos portugueses llegaron para trabajar en las industrias pesquera y agrícola, asentándose en el valle de San Joaquín y en ciudades como San Francisco y San José. Mediante un proceso de alquiler de tierra, seguido de compra, los portugueses consiguieron consolidarse en la horticultura y la ganadería lechera (Baganha, 1991). La capacidad de comprar tierras permitió a los inmigrantes portugueses establecerse de forma permanente, facilitando la llegada de nuevos inmigrantes que eran a menudo empleados por sus compatriotas. A lo largo del último siglo, se ha desarrollado en California una próspera comunidad luso-americana, contribuyendo significativamente a las industrias pesquera, agrícola y cultural del estado, y preservando un rico patrimonio cultural e histórico. Hawái recibió un flujo constante de inmigrantes portugueses de Madeira y las Azores entre finales del siglo XIX y principios del XX, atraídos por un sistema de mano de obra contratada para la economía azucarera y el deseo de frenar la inmigración china. Este flujo migratorio, financiado por plantadores de azúcar y el gobierno, implicaba a familias enteras y se diferenciaba de los flujos hacia el continente estadounidense. La mayoría de los inmigrantes trabajaban en la agricultura bajo el programa de “paso libre”. Cuando el programa terminó en 1913, la inmigración portuguesa disminuyó drásticamente (Freitas, 1930). Como resultado, la comunidad portuguesa en Hawái se cristalizó más que en Nueva Inglaterra y California, con descendientes que, aunque no hablan portugués, mantienen tradiciones culturales y religiosas lusas y participan en asociaciones relacionadas con sus raíces.
Además de los destinos históricos claves, la población portuguesa en Estados Unidos comenzó a mostrar tendencias de mayor dispersión territorial en las últimas décadas, comenzando a surgir nuevos espacios de asentamiento. Según datos recientes de la ACS, 2016-2020, la población portuguesa en Estados Unidos disminuyó de 1,31 millones en 2006-2010 a 1,27 millones en 2016-2020. Sin embargo, están presentes en todos los estados de Estados Unidos (figura 2).
Figura 2. Distribución de la población portuguesa en Estados Unidos (nº), por estados, 2006-2010 y 2016-2020.

Fuente: Micro datos de la Encuesta sobre la Comunidad Estadounidense (ACS).
A nivel estatal, California registró el mayor número de portugueses (309,96 mil), seguido de Massachusetts (258,23 mil), Rhode Island (81,69 mil), Florida (78,87 mil), Nueva Jersey (72,31 mil) y Hawái (47,04 mil). Por otro lado, los estados de Dakota del Sur y Dakota del Norte tenían el menor número de portugueses en su población. En la última década, el tamaño de la población portuguesa disminuyó en California (-35,89 mil, el 10,38%), Massachusetts (-30,69 mil, el 10,62%), Rhode Island (-11,61 mil, el 12,45%) y Hawái (-10,05 mil, el 17,62%). Entre los estados con mayor número de portugueses, Nueva Jersey registró el menor descenso, de -479 personas. Por el contrario, la población portuguesa aumentó en Florida (+14,82 mil, 23,13%), Texas (+9,34 mil, 37,82%), Pensilvania (+4,66 mil, 29,84%) y Carolina del Sur (+4,47 mil, 99,42%). Esta tendencia muestra que los estados en los que se asentó la mayor parte de la población portuguesa en los siglos XIX y XX están perdiendo importancia, disminuyendo su número por causas naturales (mortalidad asociada al envejecimiento y al no reemplazo generacional) o por la emigración a otros estados, especialmente Florida y, en menor medida, Texas.
A nivel nacional, la proporción de la población portuguesa en la población total de Estados Unidos fue del 0,47% en 2006-2010, descendiendo al 0,42% en 2016-2020. Sin embargo, debido a la desigual distribución antes descrita, su peso relativo fue mucho mayor en unos estados que en otros. En 2006-2010, Rhode Island encabezaba la lista con un 9,47%, seguido de Massachusetts (4,75%), Hawái (4,64%), Connecticut (1,51%), New Hampshire (1,41%) y California (1,09%), y En cambio, los estados de Mississippi, Wisconsin y Virginia Occidental tenían las proporciones más bajas de la comunidad portuguesa y/o de las personas con vínculos con Portugal (0,05%) en la población total (figura 3).
Figura 3. Proporción de población portuguesa en la población total residente en Estados Unidos, por estado, 2006-2010 y 2016-2020.

Fuente: Micro datos de la Encuesta sobre la Comunidad Estadounidense (ACS).
En 2016-2020, la proporción de población portuguesa en la población residente en Estados Unidos disminuyó en Rhode Island, Massachusetts y Hawái hasta el 8,15%, el 3,95% y el 3,50%, respectivamente. Esto puede deberse a una combinación de diferentes factores, a saber, la disminución del número de nuevos inmigrantes portugueses, el efecto de la mortalidad y la emigración de los descendientes de lusos (sin su reemplazo en la población), o incluso un mayor aumento de las migraciones procedentes de otros países, lo que implica una reducción del peso relativo de la comunidad portuguesa de descendientes de lusos. Por el contrario, su peso aumentó en algunos estados, entre ellos Florida y Texas, donde pasó de 0,37% y 0,11% en 2006-2010 a 0,39% y 0,13% en 2016-2020, respectivamente. Esto se debe principalmente al crecimiento del número de inmigrantes y descendientes de lusos procedentes de otros estados, concretamente de los que tradicionalmente se asentaron en la costa este de Estados Unidos. Aunque California es el estado con más portugueses, estos corresponden a solo el 0,83% de la población total en 2016-2020 (figura 3). Este porcentaje disminuyó desde el 1,01% en 2006-2010, posiblemente debido al efecto combinado del descenso de la población portuguesa y el crecimiento de grupos de otros orígenes, como los procedentes de América Latina.
La distribución geográfica de los distintos grupos de portugueses es muy desigual. Empezando por el grupo más pequeño en términos de tamaño de población, los inmigrantes portugueses se concentran en los estados de Massachusetts (11,34 mil), Nueva Jersey (6,93 mil), California (5,19 mil), Rhode Island (3,49 mil) y Nueva York (3,11 mil) (figura 4). Este es también el grupo con el descenso más acusado en el periodo estudiado: de 57,6 mil en 2006-2010 a 37,88 mil en 2016-2020 (-34,21%). Esta reducción puede explicarse por un menor número de llegadas combinado con la progresiva adquisición de la nacionalidad estadounidense por parte de los inmigrantes portugueses. Sin embargo, la caída de los inmigrantes portugueses también puede deberse a los efectos de la población que ya no se encuentra en el país, ya sea porque regresaron o fallecieron (cabe recordar que este es el segundo subgrupo más antiguo de los cuatro analizados, después de los inmigrantes naturalizados). El descenso global de este grupo se explica por las fuertes pérdidas de población en todos sus asentamientos tradicionales, a saber, Nueva Jersey (-6,84 mil), Massachusetts (-4,37 mil), Connecticut (-2,61 mil), Nueva York (-2,18 mil), Rhode Island (-1,82 mil) y California (-1,43 mil). No obstante, esto va acompañado de aumentos de población en algunos estados, aunque menos expresivos: Carolina del Sur (+0,4 mil) y Texas (+0,2 mil) (gráfico 6). Esta evidencia de pequeños aumentos en algunos estados del sur parece confirmar referencias anteriores a algunos cambios de residencia hacia estos espacios. En resumen, se produjo un fuerte descenso del número de inmigrantes portugueses, y el volumen de entradas fue inferior al de salidas.
Figura 4. Distribución de los inmigrantes portugueses en Estados Unidos por estados (nº), 2006-2010 y 2016-2020

Fuente: Micro datos de la Encuesta sobre la Comunidad Estadounidense (ACS).
Los destinos preferidos de los inmigrantes naturalizados, que es el segundo grupo más numeroso, en 2016-2020 fueron los estados de Massachusetts (34,49 mil), Nueva Jersey (18,55 mil), California (14,09 mil), Rhode Island (10,61 mil) y Florida (5,48 mil). El número de inmigrantes naturalizados cayó de 102,26 mil en 2006-2010 a 98,81 mil en 2016-2020 (-3,38%) (figura 5). Los mayores descensos se dieron en California (-3,06 mil), Nueva York (-2,75 mil) y Connecticut (-1,91 mil). Dentro de este grupo, los estados de Florida (+1,83 mil) y Rhode Island (+0,94 mil) registraron el crecimiento más significativo, lo que muestra un movimiento de dispersión geográfica que sigue el de otras poblaciones de Estados Unidos y que favorece al Sur, donde se encuentra Florida. Aunque también muestra una tendencia a la baja, el grupo de inmigrantes naturalizados parece más resistente a los efectos del tiempo que el de inmigrantes portugueses, posiblemente porque el primero se forma precisamente a partir del grupo de inmigrantes portugueses que han adquirido desde entonces la ciudadanía estadounidense.
Figura 5. Distribución de inmigrantes naturalizados en Estados Unidos por estados (nº), 2006-2010 y 2016-2020

Fuente: Micro datos de la Encuesta sobre la Comunidad Estadounidense (ACS).
El tercer grupo, formado por los descendientes lusófonos, es el único que observa un crecimiento de la población en la última década: +3,35 mil personas, habiendo pasado de 145,99 mil en 2006-2010 a 149,34 mil en 2016-2020 (+2,29%). Este grupo se concentra principalmente en los estados de Massachusetts (35,36 mil), California (21,18 mil), Florida (19,45 mil), Nueva Jersey (17,43 mil) y Nueva York (9,44 mil) (figura 6). En el periodo más reciente, sólo Dakota del Norte no está representada. Este aumento apunta a unas estructuras demográficas más dinámicas, posiblemente como consecuencia de unos niveles de fecundidad más elevados, lo que confirma en cierta medida el análisis de las estructuras demográficas. Los mayores aumentos se registraron en los estados de Florida (+8,12 mil), Texas (+1,83 mil), Georgia (+1,29 mil) y Nueva York (+1,09 mil), proporcionando un ejemplo más claro de la tendencia hacia una mayor dispersión geográfica de los descendientes de lusos, que está asociada a un aumento del número de los que se asientan en los estados del Sur y del Sudeste. El hecho de que este grupo de población esté disminuyendo en varios estados donde tradicionalmente se asentaron portugueses en EE.UU., a saber, Massachusetts (-7,96 mil), Rhode Island (-3,04 mil), Connecticut (-2,91 mil), California (-1,63 mil) y Nueva Jersey (-1,08 mil), también confirma esta lógica de mayor dispersión territorial.
Figura 6. Distribución de los descendientes lusófonos en Estados Unidos, por estados (nº), 2006-2010 y 2016-2020

Fuente: Micro datos de la Encuesta sobre la Comunidad Estadounidense (ACS).
Por último, el grupo más numeroso, el de los descendientes no lusófonos, está representado en todos los estados de Estados Unidos. Por ser el grupo más consolidado y más distante de las olas migratorias directas, es el que mejor refleja la historia de la inmigración portuguesa a los Estados Unidos, siendo los estados de California (269,5 mil), Massachusetts (177,04 mil), Rhode Island (60,45 mil), Florida (52,28 mil) y Hawái (46,46 mil) los que presentan los mayores números. Este grupo ha perdido población en la última década: -26,19 mil personas, pasando de cerca de 1,01 millones en 2006-2010 a 0,99 millones de personas en 2016-2020 (-2,58%). Esto no es una sorpresa porque hay más personas en el grupo con vínculos más débiles con Portugal. Por lo tanto, cuando las personas mueren, es cada vez más probable que sus descendientes sean étnicamente mixtos, por lo que no se identifican con sus raíces portuguesas ni hacen referencia a ellas. En cuanto a la distribución geográfica, los estados con mayor población de descendientes de lusos no lusófonos son los que perdieron un mayor número, por ejemplo, California perdió 29.770, Massachusetts perdió 17.940, Hawái perdió 10.080 y Rhode Island perdió 7.690 residentes (figura 7). Aunque los aumentos de población no compensan las pérdidas, algunos estados han registrado un crecimiento notable, como Texas (+7,33 mil), Nueva Jersey (+6,80 mil), Florida (+4,96 mil), Pensilvania (+4,01 mil), Carolina del Norte (+3,93 mil) y Carolina del Sur (+3,54 mil). Estas tendencias son aún más esclarecedoras cuando analizamos el proceso de dispersión territorial de los descendientes de lusos y sus determinantes. Mientras que la presencia en los estados más tradicionalmente portugueses disminuyó, aumentó en los estados del sur y del sudeste (Texas, Carolina del Sur y Florida); en este último caso, el desplazamiento de los jubilados puede tener cierto peso, como ya mencionó Scott en 2009. Por último, Nueva Jersey es el estado tradicional de asentamiento que sigue atrayendo a esta población, lo que puede estar relacionado con posibles ventajas en la oferta de vivienda (precios inmobiliarios más bajos), redes portuguesas más dinámicas en lugares como Newark y el surgimiento de lógicas de sub-urbanización en relación con Nueva York. Todo ello requiere una mayor confirmación, lo que justifica futuros estudios sobre la movilidad residencial real de los portugueses a nivel local
Figura 7. Distribución de los descendientes no lusófonos en Estados Unidos por estados (nº), 2006-2010 y 2016-2020

Fuente: Micro datos de la Encuesta sobre la Comunidad Estadounidense (ACS).
La comparación de los mapas de distribución de los cuatro grupos sugiere que la localización geográfica de la población de origen portugués en Estados Unidos es cada vez más dispersa. Mientras que los inmigrantes portugueses están más concentrados en algunos estados y ausentes en otros, el grupo de descendientes no lusófonos, que incluye a individuos con una presencia ancestral más consolidada en los Estados Unidos, no sólo mostró su presencia en nuevos estados, concretamente Florida, sino que también está disperso por todo el territorio estadounidense. Cabe señalar que el patrón geográfico del grupo de descendientes de lusos de habla portuguesa es bastante similar al de otros descendientes de lusos.
5.3. Perfil sociodemográfico de la población portuguesa en Estados Unidos
5.3.1. Perfil educativo
La educación desempeña un papel crucial en la integración de los inmigrantes en sus nuevas comunidades. Proporciona los conocimientos y aptitudes necesarios para el éxito económico, la cohesión social y la comprensión cultural. Históricamente, el nivel educativo de los inmigrantes portugueses era muy bajo (Baganha 1991), incluso en comparación con los bajos niveles educativos de la población portuguesa en el siglo XX y principios del XXI. Sin embargo, dada la expansión de la educación tanto en Portugal como en Estados Unidos y la creciente relevancia de la enseñanza superior en el mercado laboral, la comunidad portuguesa también ha sido testigo de un notable cambio en su perfil educativo. En 2006-2010, la proporción de población portuguesa con titulación universitaria era del 35,2%, ligeramente inferior a la media estadounidense del 37,7%; por el contrario, la proporción de personas con un nivel inferior al primario (7,5%) era ligeramente superior a la media estadounidense (6,9%). Debido a los constantes esfuerzos por mejorar el perfil educativo de la comunidad, en 2016-2020, la proporción de personas con titulación universitaria aumentó hasta el 44,5%, por encima de la media estadounidense del 43,3%. Al mismo tiempo, la proporción de personas con educación inferior a la primaria disminuyó al 5,8 %, por debajo de la media estadounidense del 6,0 %. Esto demuestra el notable éxito de la comunidad portuguesa en cuanto a nivel de estudios en Estados Unidos.
Un análisis detallado de los datos de la ACS muestra que entre los diferentes grupos portugueses los descendientes de portugueses (lusófonos o no lusófonos) tenían mejor perfil educativo que los inmigrantes portugueses (naturalizados o no). En 2006-2010, los descendientes lusófonos tenían la mayor proporción de personas con titulación universitaria (40,6%), seguidos de los descendientes no lusófonos (37,2%) y los Inmigrantes naturalizados (18,0%). Los Inmigrantes portugueses tenían el menor porcentaje de personas con titulación universitaria (14,1%). Los Inmigrantes naturalizados tienen la mayor proporción de personas con estudios secundarios (39,9%) y los Inmigrantes portugueses la mayor proporción de personas con estudios primarios (41,1%) (Figura 8). Esto muestra una clara brecha entre el nivel educativo de los descendientes y los inmigrantes, donde más de tres cuartas partes de los descendientes lusófonos tenían estudios secundarios o superiores, por el contrario, la mitad de los Inmigrantes portugueses tenían estudios primarios o inferiores. En ٢٠١٦-٢٠٢٢, la proporción de personas con titulación universitaria entre los descendientes lusófonos y los descendientes no lusófonos aumentó hasta el ٥٥,٤٪ y el ٤٦,٢٪, respectivamente. La proporción de personas con titulación universitaria entre los Inmigrantes portugueses y los Inmigrantes naturalizados también aumentó hasta el ٢٠,٥٪ y el ٢٠,٦٪, respectivamente, lo que muestra una mejora general en el perfil educativo de la comunidad portuguesa en Estados Unidos. Esto concuerda con los resultados publicados por Scott (2009) sobre la última fase de la inmigración portuguesa a Estados Unidos, que se caracterizó por una mayor presencia de personas de cualificación media a alta (aunque aparentemente menor que entre otros grupos de inmigrantes llegados a Estados Unidos como brasileños o griegos), procedentes en su mayoría de zonas urbanas. Sin embargo, sigue existiendo una diferencia considerable de 30 puntos porcentuales entre los descendientes de portugueses y los inmigrantes. Esta diferencia debe ser interpretada como producto de la movilidad social ascendiente del descendente respeto a los progenitores inmigrados. Existen considerables diferencias de género en cuanto al nivel de estudios superiores. Empíricamente, es casi universalmente cierto que las mujeres de las sociedades occidentales tienen mayores niveles de educación que los hombres, y esto se refleja en una mayor proporción de la población con estudios superiores (Stoet y Geary 2020). Como tal, no es sorprendente encontrar este resultado en todos los grupos. Lo que vale la pena señalar es que esta diferencia es particularmente marcada en el grupo de descendientes lusófonos: en el último quinquenio, el porcentaje de mujeres con educación superior fue de 58.8%, 7.43 puntos porcentuales mayor que el de los hombres. Era 13 puntos porcentuales superior al del resto de las mujeres estadounidenses.
Figura 8. Perfil educativo de la población portuguesa en Estados Unidos, 2006-10, 2011-15 y 2016-20.

Fuente: Micro datos de la Encuesta sobre la Comunidad Estadounidense (ACS).
5.3.2. Perfil ocupacional
A medida que mejoraba el nivel educativo de la población portuguesa, su perfil ocupacional también ha cambiado significativamente durante las dos últimas décadas. En 2006-2010, el 46,5% del total de trabajadores portugueses estaban empleados en el sector de Gestión, Negocios y Finanzas, ligeramente por debajo de la media estadounidense del 48,3% de personas. Otro 21,5% estaban empleado en Ventas, Transporte y Servicios, el 9,5% en Asistencia administrativa y de oficina, el 6,1% en Educación, Servicio Jurídico y Comunicación, el 4,3% en Construcción y Extracción y el 3,7% en Fabricación. Una pequeña proporción del 0,5% se empleó en Agricultura, Pesca y Silvicultura y el 0,4% era desempleado. En 2016-2020, la proporción de personas empleadas en los sectores de Gestión, Negocios y Finanzas y Educación, Servicio Jurídico y Comunicación aumentó hasta el 47,8% y el 7,8%, respectivamente. Sin embargo, la proporción de personas empleadas en los sectores de Ventas, Transporte y Servicios, Asistencia administrativa y de oficina, Construcción y Extracción, y Fabricación disminuyó al 20,9%, 7,9%, 3,4% y 2,7%, respectivamente. La proporción de personas en el sector primario y en paro también disminuyó hasta el 0,4% y el 0,3%, respectivamente. Con estos datos es evidente que la población portuguesa se está orientando hacia empleos directivos mejor remunerados y abandona los empleos mal pagados del sector primario y manufacturero de las primeras oleadas.
Entre los grupos portugueses, todos tenían una elevada proporción de personas empleadas en el sector de Gestión, negocios y finanzas (por encima del 40%), sin embargo, los inmigrantes naturalizados y los inmigrantes portugueses han mostrado el notable aumento de la proporción de personas en puestos directivos (casi 10 puntos porcentuales). Una gran proporción de inmigrantes naturalizados e inmigrantes portugueses estaban empleados en los sectores de Construcción y extracción y Fabricación. Sin embargo, una gran proporción de descendientes lusófonos o no lusófonos trabajaban en los sectores de ventas, educación, legal y otros servicios (Figura 9).
Figura 9. Proporción de población portuguesa y sus descendientes en diferentes sectores de ocupación, en Estados Unidos, 2006-10, 2011-15 y 2016-20.

Fuente: Micro datos de la Encuesta sobre la Comunidad Estadounidense (ACS).
5.3.3. Hogares portugueses en Estados Unidos
En 2006-2010, había 520.643 hogares de la comunidad portuguesa en Estados Unidos. Entre estos 394.930 pertenecían a descendientes no lusófonos, 53.791 a inmigrantes naturalizados, 49.277 a descendientes lusófonos y los 22.645 restantes a inmigrantes portugueses. A pesar de la disminución de la población portuguesa en Estados Unidos, el número de hogares portugueses aumentó a 537.536 hogares en 2016-2020. Entre los grupos seleccionados, solo el de inmigrantes naturalizados registró un descenso en el número de hogares (53.334 hogares en 2016-2020). Este aumento en el número de hogares puede asociarse al cambio en el tamaño medio de los hogares en la comunidad portuguesa. El tamaño medio de los hogares en 2006-2010 era de 2,71 personas por hogar, que disminuyó a 2,5 personas por hogar en 2016-2020. Entre los grupos portugueses, en 2006-2010, el mayor tamaño medio de los hogares se registró entre los descendientes lusófonos, es decir, 2,96 personas por hogar, que bajó a ٢,٤٥ personas por hogar en ٢016-2020. Al mismo tiempo, los inmigrantes naturalizados tenían el tamaño de hogar más pequeño (1,9 personas por hogar) en 2006-2010, que se redujo a 1,8 personas por hogar en 2016-2020.
Otro cambio importante se ha registrado en los tipos de hogar de la población portuguesa en Estados Unidos. Los hogares pueden clasificarse en diferentes categorías en función de la relación entre los diferentes miembros de un hogar. En 2006-2010, el tipo de hogar más común entre la población portuguesa en Estados Unidos era parejas sin hijos (42,6%), seguido de parejas con hijos (24,1%), hogares extendidos (15,4%) y hogares unipersonales (13,2%). Una pequeña parte de la población portuguesa vivía en hogares monoparentales (4,8%), por debajo de la media nacional (5,2%). En 2016-2020, a pesar de ser las más numerosas, la proporción de parejas sin hijos y parejas con hijos disminuyó hasta el 41,2% y el 22,3%. Sin embargo, la proporción de hogares extendidos, hogares unipersonales y hogares monoparentales aumentó al 16,9%, 14,6% y 4,9%, respectivamente. Este cambio demuestra que la llegada de nuevos inmigrantes, junto con el envejecimiento de los primeros, ha modificado el perfil de los hogares de los inmigrantes portugueses en Estados Unidos. Los hogares formados por parejas, que muestran el nivel de estabilidad de la población inmigrante, están menguando y está aumentando la proporción de familias complejas, en las que conviven muchas personas sin parentesco alguno.
Figura 10. Perfil de hogares de la población portuguesa en Estados Unidos, 2006-10, 2011-15 y 2016-20.

Fuente: Micro datos de la Encuesta sobre la Comunidad Estadounidense (ACS).
Entre los diferentes grupos, en 2006-2010, la mayoría de descendientes lusófonos (43,6%) y descendientes no lusófonos (43,9%) vivían en hogares de parejas sin hijos. Sin embargo, la mayoría de los Inmigrantes naturalizados (41,6%) y de los Inmigrantes portugueses (45,3%) vivían en hogares parejas con hijos. Los inmigrantes portugueses tenían la mayor proporción de hogares extendidos (11,8%) y hogares monoparentales (6,5%). Normalmente, estos son los tipos de hogares formados por nuevos inmigrantes que se enfrentan a dificultades para encontrar apartamentos para sí mismos y comparten apartamentos para ahorrar alquiler en sus primeros meses de asentamiento. Los descendientes no lusófonos tenían la mayor proporción de Hogares unipersonales (13,9%), por encima de la media nacional del 13,8%. En 2016-2020, entre los descendientes lusófonos la proporción de parejas sin hijos y hogares unipersonales disminuyó a 37,2% y 11,5%, por el contrario, la proporción de parejas con hijos, hogares extendidos y hogares monoparentales aumentó a 31,7%, 15,1% y 4,6%. Del mismo modo, entre los descendientes no lusófonos, la proporción tanto de parejas sin hijos como de parejas con hijos bajó hasta el ٤١,٩٪ y el ١٩,٦٪, respectivamente. Al mismo tiempo, los inmigrantes naturalizados y los inmigrantes portugueses registraron el mayor descenso en el número de parejas con hijos y el mayor incremento en el número de parejas sin hijos. Por el contrario, la proporción de hogares extendidos, hogares monoparentales y hogares unipersonales también creció considerablemente (Figura 10).
5.3.4. Estado civil y número de hijos en la comunidad portuguesa de Estados Unidos.
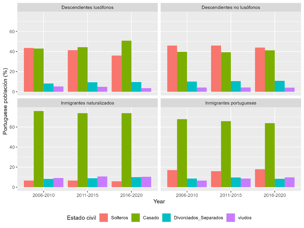
El estado civil de la población inmigrante muestra su estabilidad familiar en el país de acogida i intenciones de retorno (Barbiano di Belgiojoso, 2024). En 2006-2010, el 43,9% de la población portuguesa era casada, seguida del 41,6% de solteros, el 9,7% de divorciados o separados y el 4,8% de viudos. En 2016-2020, la proporción de casados y divorciados o separados aumentó hasta el 45,3% y el 10,5% respectivamente, y la proporción de solteros y viudos disminuyó hasta el 39,5% y el 4,6%, respectivamente. Esto demuestra la creciente estabilidad de las familias portuguesas en Estados Unidos. Entre los grupos, en 2006-2010, los inmigrantes naturalizados (75,9%) y los inmigrantes portugueses (67,8%) tenían la mayor proporción de casados. Por el contrario, los descendientes no lusófonos tenían la menor proporción de casados (39,8%), y la mayor de solteros (45,9%) y divorciados o separados (10,1%). Los inmigrantes naturalizados tenían la mayor proporción de viudos (9,2%), que puede asociarse a su distribución por edades. En 2016-2020, los descendientes lusófonos registraron el mayor aumento de la población casada (del 43% en 2006-2010 al 50,8% en 2016-2020) y un descenso simultáneo de la población soltera, del 43,6% en 2006-2010 al 36% en 2016-2020. Inmigrantes portugueses tenían la menor proporción de divorciados o separados (8,4%) y registraron el mayor aumento de la población viuda del 6,6% en 2006-2010 al 9,9% en 2016-2020 (figura 11).
El número de hijos de una comunidad de inmigrantes influye en su reproducción demográfica en el país de acogida. También determina las perspectivas de futuro de la comunidad. En 2006-2010, el 69,4% de los hogares portugueses no tenían hijos, por debajo de la media nacional del 71,1%. El 14,8% restante de los hogares tenía 1 hijo, el 11,3% tenía 2 hijos, el 3,4% tenía 3 hijos y sólo el 1,1% tenía 4 hijos o más. En 2016-2020, la proporción de hogares sin hijos aumentó hasta el 70,9%. Por el contrario, la proporción de hogares con 1 hijo, 2 hijos, 3 hijos y 4 hijos o más disminuyó al 14,7%, 10,4%, 3,1% y 0,9%, respectivamente. Esto demuestra que el número de niños en la población portuguesa de Estados Unidos está disminuyendo rápidamente, lo que afectará a su crecimiento demográfico en el futuro, coincidiendo con la disminución de la población migrante
Figura 11. Estado civil de la población portuguesa en Estados Unidos, 2006-10, 2011-15 y 2016-20.

Fuente: Micro datos de la Encuesta sobre la Comunidad Estadounidense (ACS).
Entre los grupos, en 2006-2010, descendientes no lusófonos tuvo la mayor proporción de hogares sin hijos (72,4%), por el contrario, inmigrantes portugueses tuvo la menor proporción de hogares sin hijos (45,8%). Inmigrantes portugueses tenían la mayor proporción de hogares con 1 hijo (27,7%), 2 hijos (20,5%) y 3 hijos (5%). Los descendientes no lusófonos tenían la mayor proporción de hogares con más de 4 hijos (1,2%). En 2016-2020, la proporción de hogares sin hijos entre los inmigrantes naturalizados y los inmigrantes portugueses aumentó en casi 10 puntos porcentuales. Entre los inmigrantes naturalizados, este aumento puede estar asociado a la emancipación de los niños del hogar de sus padres, sin embargo, entre los inmigrantes portugueses, este cambio puede estar asociado a la llegada de nuevos inmigrantes jóvenes que no tienen hijos. La proporción de hogares sin hijos ha disminuido entre los descendientes lusófonos (6 puntos porcentuales), que ahora forman parejas y contribuyen a la reproducción demográfica de la comunidad. Los Inmigrantes portugueses tienen el mayor porcentaje de hogares con 1 hijo (27,2%), los descendientes lusófonos tienen el mayor porcentaje de hogares con 2 hijos (16,3%) y 3 hijos (4,2%). Por último, los descendientes no lusófonos tienen el mayor porcentaje de hogares con más de 4 hijos.
5.3.5. Condiciones de vivienda de la población portuguesa en Estados Unidos
Las condiciones de la vivienda proporcionan información significativa sobre la situación social y económica de las poblaciones inmigrantes en el país de acogida. Los inmigrantes tienen más probabilidades de residir en edificios antiguos y deteriorados o en barrios con menos recursos. Sus condiciones de vivienda deficientes (por ejemplo, mantenimiento deficiente, falta de servicios básicos) reflejan a menudo unos recursos económicos limitados. En 2006-2010, el 61,1% del total de la población portuguesa en Estados Unidos vivía en edificios residenciales construidos antes de 1979, por encima de la media nacional del 57,5%. Estos edificios carecen a menudo de servicios básicos, como ascensores, aire acondicionado o calefacción, lo que afecta al nivel de vida de las personas que residen en ellos. Sólo el 12,6% de la población portuguesa vivía en un edificio residencial construido después del año 2000. En 2016-2020, el porcentaje de población portuguesa que vivía en edificios antiguos aumentó al 62,9% y el porcentaje de población portuguesa que vivía en edificios nuevos disminuyó al 9,2%. Esto demuestra que los nuevos inmigrantes portugueses están ocupando el parque residencial antiguo de las principales ciudades. Entre los grupos, en 2006-2010, los inmigrantes portugueses (75,8%) tenían la mayor proporción de personas que vivían en edificios antiguos, seguidos por los inmigrantes naturalizados (67,9%), los descendientes lusófonos (61,1%) y los descendientes no lusófonos (59,6%). Por el contrario, los descendientes lusófonos tenían la mayor proporción (13,9%) y los Inmigrantes portugueses la menor proporción (6,6%) de personas que vivían en edificios nuevos. La situación se mantuvo más o menos similar en 2016-2020, con un 74,4% de inmigrantes portugueses viviendo en edificios antiguos. La proporción de inmigrantes naturalizados y descendientes no lusófonos que viven en edificios antiguos aumentó hasta el 69,5% y el 62,1%, respectivamente. Sin embargo, la proporción de personas que viven en edificios nuevos disminuyó en todos los grupos, siendo el descenso más acusado el de los descendientes lusófonos (4,5 puntos porcentuales). Esta concentración de población portuguesa en las antiguas zonas residenciales puede asociarse a la subida de los alquileres y los precios de la vivienda en las principales ciudades estadounidenses, lo que dificulta a los nuevos inmigrantes la compra o el alquiler de un apartamento en barrios con edificios mejor dotados.
Otra característica importante de la vivienda está relacionada con el tamaño de las viviendas y el espacio disponible para todos los miembros del hogar. Los altos niveles de hacinamiento en las viviendas pueden indicar un estatus económico más bajo y una falta de opciones de vivienda asequible. El hacinamiento puede afectar a la salud física y mental, repercutiendo en el bienestar general. En 2006-2010, solo el 3,8% de la población portuguesa vivía en apartamentos pequeños (0-2 habitaciones), el 57,6% en apartamentos medianos (3-5 habitaciones) y el 38,6% restante en apartamentos grandes (6+ habitaciones). En 2016-2020, la proporción de personas que vivían en viviendas medianas se redujo al 53,3% y la de las viviendas pequeñas y grandes aumentó al 5,8% y al 40,9%, respectivamente. Entre los grupos portugueses, en 2006-2010, los descendientes lusófonos tenían la mayor proporción de personas que vivían en apartamentos pequeños (5,1%), seguidos por los inmigrantes portugueses (3,8%), los descendientes no lusófonos (3,8%) y los inmigrantes naturalizados (2,7%). La mayoría de los inmigrantes portugueses (65,7%) vivían en viviendas medianas. Los descendientes no lusófonos tienen la mayor proporción de personas (39,4%) que viven en viviendas grandes, lo que demuestra que han mejorado su estatus socioeconómico en la sociedad y ahora pueden permitirse vivir en viviendas grandes. En 2016-2020, todos los grupos han registrado un aumento de la proporción de personas que viven en pisos pequeños. Los inmigrantes portugueses tienen la mayor proporción de personas que viven en apartamentos pequeños (7,4%), seguidos de descendientes lusófonos (6,4%), descendientes no lusófonos (5,9%) e inmigrantes naturalizados (3,5%). Excepto inmigrantes portugueses, todos los demás grupos también registraron un aumento de la proporción de personas que viven en viviendas grandes.
Por último, la propiedad de la vivienda es también un indicador importante de la estabilidad y la mejor condición socioeconómica de las comunidades inmigrantes en los países de acogida. Las tasas más bajas de propiedad de la vivienda entre los inmigrantes pueden reflejar barreras como unos ingresos más bajos, la falta de historial crediticio o la discriminación. Entre los inmigrantes recientes, el alquiler es una práctica más habitual. En 2006-2010, el 75,4% de la población portuguesa vivía en pisos de alquiler y el 24,6% restante era propietario de su vivienda. En 2016-2020, la proporción de inquilinos se redujo al 73,7% y la de propietarios aumentó al 26,3%. Esto demuestra que la gente está invirtiendo en las casas y la comunidad se está estabilizando. Entre los grupos, en 2006-2010, los inmigrantes naturalizados tenían la mayor proporción (85,8%) de inquilinos, seguidos por los descendientes no lusófonos (75,1%), los descendientes lusófonos (72,6%) y los inmigrantes portugueses (66,3%). Curiosamente, la proporción de propietarios de vivienda fue la mayor entre los inmigrantes portugueses (33,7%). Esto podría indicar un mayor poder adquisitivo y rentas más altas de los inmigrantes con un lazo más fuerte con Portugal. En 2016-2020, la proporción de inquilinos entre los inmigrantes naturalizados aumentó hasta el 86,4%, y disminuyó en todos los demás grupos, con el máximo descenso registrado por los descendientes lusófonos, es decir, 5,1 puntos porcentuales. La proporción de propietarios de vivienda entre los inmigrantes portugueses aumentó al 36,7%.
6. Conclusiones: una comunidad consolidada y con larga tradición en los EE.UU.
Un análisis detallado de los datos de la ACS muestra que la comunidad portuguesa ha logrado reproducirse socio-demográficamente con éxito en los Estados Unidos durante las dos últimas décadas. El sistema migratorio entre Portugal y Estados Unidos, que tuvo sus inicios con los viajes de marineros portugueses en el siglo XVI y se consolidó como un flujo migratorio continuo hacia finales del siglo XIX, facilitó el asentamiento permanente de un gran número de portugueses. Estos emigrantes procedían, en un principio, de los archipiélagos de las Azores y Madeira, y más tarde también del Portugal continental. Esta afluencia constante de emigrantes ha dado lugar a una comunidad de aproximadamente 1,3 millones de portugueses y sus descendientes en Estados Unidos.
En lo que respecta a la reproducción demográfica de la comunidad portuguesa en Estados Unidos, los resultados indican un descenso en la población total de inmigrantes portugueses y sus descendientes entre los periodos 2006-2010 y 2016-2020. Esta disminución se atribuye principalmente a la menor llegada de nuevos inmigrantes y al descenso natural derivado del envejecimiento y la mortalidad. El envejecimiento de la población y la creciente feminización son también rasgos destacados de esta comunidad. La edad media de hombres y mujeres ha aumentado significativamente en la última década y, debido a la mayor esperanza de vida femenina y a la elevada proporción de mujeres entre los nuevos inmigrantes, la presencia femenina dentro del conjunto de la población portuguesa ha crecido de forma notable.
Entre los cuatro grupos que componen esta comunidad, los datos evidencian dos tendencias principales: el incremento de la población de descendientes lusófonos y la reducción del número de inmigrantes portugueses. Esta última tendencia está relacionada con la disminución de la inmigración de jóvenes y con el aumento de los procesos de naturalización. Aunque el envejecimiento es un fenómeno común a toda la comunidad, los inmigrantes portugueses concentran una proporción significativa de personas mayores de 65 años. Esta situación plantea importantes retos para la sostenibilidad de la comunidad y subraya la necesidad de servicios sociales especializados y políticas públicas de integración dirigidas a los inmigrantes de mayor edad. En cuanto a la distribución espacial, los inmigrantes portugueses y sus descendientes se han asentado en todos los estados del país. No obstante, se observa una disminución de la población en enclaves tradicionales como Massachusetts, Rhode Island y California, acompañada de un crecimiento en nuevas zonas de atracción como Florida y Texas. Esta dispersión geográfica se alinea con las tendencias migratorias más amplias en Estados Unidos, en las que la población inmigrante tiende a desplazarse hacia el sur y el sureste en busca de mejores oportunidades económicas y un menor coste de vida. Este patrón también refleja la migración de personas jubiladas que se trasladan a Florida para disfrutar de su retiro.
La reproducción demográfica de las comunidades de origen portugués y sus descendientes contrasta con su reproducción social. En cuanto a la evolución del perfil socioeconómico, aunque existen diferencias marcadas entre los distintos subgrupos, la tendencia general indica una progresiva estabilización y un avance en los indicadores socioeconómicos dentro de la comunidad. En términos generales, los descendientes de portugueses superan a los demás grupos en aspectos clave como el nivel educativo. Este logro puede atribuirse a la fortaleza de las redes comunitarias, al énfasis cultural en la educación y a estrategias de integración que combinan de manera eficaz elementos culturales tanto estadounidenses como portugueses. No obstante, persisten desigualdades entre los descendientes lusófonos y no lusófonos, siendo los primeros quienes presentan mejores resultados en términos socioeconómicos. Esta diferencia pone de relieve la relevancia de conservar los vínculos culturales y lingüísticos, ya que estos pueden facilitar el acceso a recursos, redes de apoyo y oportunidades dentro de la comunidad.
La población portuguesa en Estados Unidos también ha experimentado una mejora significativa en su perfil ocupacional. En la última década, la mayoría de los portugueses han accedido a empleos en el sector de servicios bien remunerados y en cargos directivos, abandonando progresivamente los sectores agrícola y manufacturero. Este cambio ha contribuido a mejorar su posición en el mercado laboral y su nivel de vida. Asimismo, la estructura familiar de esta comunidad ha evolucionado notablemente. El tamaño medio de los hogares portugueses ha disminuido, mientras que ha aumentado la proporción de hogares extendidos, unipersonales y monoparentales. Uno de los principales factores que explican esta transformación es el cambio en los patrones de estado civil y en la fecundidad de las familias portuguesas en Estados Unidos. En la última década, ha aumentado la proporción de personas casadas, divorciadas o separadas, mientras que ha disminuido la de solteros y viudos. Paralelamente, la proporción de hogares sin hijos ha alcanzado el 70,9%, lo que refleja una disminución en los niveles de fecundidad dentro de la comunidad portuguesa.
En relación con las condiciones de vivienda, se observa un aumento significativo en el porcentaje de población portuguesa que reside en edificios antiguos. Este fenómeno sugiere que los nuevos inmigrantes portugueses tienden a asentarse en el parque de viviendas más antiguas de las ciudades donde residen. Paralelamente, ha disminuido la proporción de personas que habitan viviendas de tamaño medio, mientras que ha aumentado tanto la de quienes viven en viviendas pequeñas como en viviendas grandes. Esta tendencia indica un incremento de la desigualdad dentro de la comunidad portuguesa, con un sector que ha logrado mejorar su situación económica y trasladarse a viviendas más amplias, y otro que, con menos recursos, opta por unidades más pequeñas y antiguas. Además, la proporción de inquilinos ha disminuido, mientras que la de propietarios ha aumentado, lo que refleja una mayor inversión en propiedad inmobiliaria y sugiere un proceso de estabilización y arraigo de la comunidad en el país de destino.
En resumen, el sistema migratorio luso-estadounidense se ha consolidado y fortalecido durante las dos últimas décadas. El éxito en la reproducción sociodemográfica de la comunidad portuguesa, junto con la inmigración constante desde Portugal, ha dado lugar a una población amplia, diversa y con un notable arraigo en Estados Unidos. De cara al futuro, resultará especialmente relevante analizar las estrategias de reproducción social y cultural tanto de los nuevos inmigrantes como de las personas de ascendencia portuguesa, en un contexto de interacción con una sociedad estadounidense caracterizada por su diversidad y dinamismo.
ALBA, R. (1990): Ethnic identity: The transformation of White America. Yale University Press.
ALMEIDA, Onésimo Teotónio (2009): “Comunidades portuguesas dos EUA: Identidade, assimilação, aculturação”. In Artur Teodoro de MATOS e Mário LAGES (eds.), Portugal. Percursos de interculturalidade: Desafios à identidade. Lisboa: Alto Comissariado para a Imigração e Diálogo Intercultural, pp. 339-422.
AZEVEDO, Alda B. (coord.); MALHEIROS, Jorge; SILVA, Katielle; TAVARES, Lara Patricio; GARHA, Nachatter S.: FERREIRA, Pedro F. (2023): Portuguese immigrants and descendants in the USA in the 21st Century. Lisboa:,Fundação Luso-americana para o Desenvolvimento.
AZEVEDO, Alda B.; GARHA, Nachatter S. (2023): “Portuguese immigrants and descendants: what are their housing conditions?” In AZEVEDO, A. B. (coord.) Portuguese immigrants and descendants in the USA in the 21st Century. Lisboa, Fundação Luso-americana para o Desenvolvimento. pp. 70-78.
AZEVEDO, A. B.; TAVARES, L. P.; GARHA, N. S.; RIVERA, M. E. (2025): An American Dream in Portuguese: second generation and beyond. Lisboa, Fundação Luso-Americana para o Desenvolvimento.
BAGANHA, Maria Ioannis Benis (1988): International labour movements. Portuguese emigration to the United States, 1820-1930. Doctoral thesis. Philadelphia, University of Pennsylvania.
BAGANHA, Maria Ioannis Benis (1991): “The Social Mobility of Portuguese Immigrants in the United States at the Turn of the Nineteenth Century”. The International Migration Review, v. 25, nº 2, pp. 277–302. https://doi.org/10.1177/019791839102500202.
Barbiano di Belgiojoso, E., Bonifazi, C., Ortensi, L.E. & Paparusso, A. (2024) Change and stability of migration intentions. Evidence from Italy. International Migration, 62, 217–235. https://doi.org/10.1111/imig.13211.
BECKER, Gary S.; HUBBARD, William H. J.; MURPHY, Kevin M. (2010): “Explaining the Worldwide Boom in Higher Education of Women”. Journal of Human Capital, v. 4, nº 3, pp. 203-241.
BOURDIEU, Pierre (1977): “Cultural Reproduction and Social Reproduction”. In Jerome KARABEL; Anthony H. HALSEY (eds.), Power and Ideology in Education. New York, Oxford University Press. pp. 487-511.
BOURDIEU, P. (1999): La reproducción. Elementos para una teoría del sistema de enseñanza. Madrid, Laia.
CENSUS BUREAU (2017): American Community Survey. Information Guide. U.S. Department of Commerce Economics and Statistics Administration. https://www.census.gov/content/dam/Census/programs-surveys/acs/about/ACS_Information_Guide.pdf.
CENSUS BUREAU (2020): Understanding and Using American Community Survey Data. What All Data Users Need to Know. U.S. Department of Commerce. https://www.census.gov/content/dam/Census/library/publications/2020/acs/acs_general_handbook_2020.pdf.
FISHMAN, J. A. (1991): Reversing language shift: Theoretical and empirical foundations of assistance to threatened languages. Multilingual Matters.
FREITAS, Joaquim Francisco (1930): Portuguese-Hawaiian Memories. Honolulu, The Printshop Company.
GANS, H. J. (1979): Symbolic ethnicity: The future of ethnic groups and cultures in America. Ethnic and Racial Studies, 2(1), 1–20.
LEVITT, P., GLICK SCHILLER, N. (2004): Conceptualizing simultaneity: A transnational social field perspective on society. International Migration Review, 38(3), 1002–1039.
MALHEIROS, Jorge; SILVA, Katielle (2023): “The Portuguese in the USA: a proposal for a short and guided bibliographic interpretation”. In AZEVEDO, Alda B. (coord.) Portuguese immigrants and descendants in the USA in the 21st Century. Lisboa, Fundação Luso-americana para o Desenvolvimento. pp. 14-22.
RUGGLES, Steven; FLOOD, Sarah; SOBEK, Matthew; BACKMAN, Daniel; CHEN, Annie; COOPER, Grace; RICHARDS, Stephanie; RODGERS, Renae; SCHOUWEILER, Megan (2024): IPUMS USA: Version 15.0 [dataset]. Minneapolis, MN: IPUMS, 2024. https://doi.org/10.18128/D010.V15.0
OBSERVATÓRIO DA EMIGRAÇÃO (2024): EUA. https://observatorioemigracao.pt/np4/paises.html?id=230.
PORTES, A., ZHOU, M. (1993): The new second generation: Segmented assimilation and its variants. Annals of the American Academy of Political and Social Science, 530, 74–96.
RIBEIRO, Rocha-Trindade (2000): Presença Luso-Americana nos Estados Unidos. Mafra, Edições Elo.
ROCHA, Gilberta Pavão (coord.); FERREIRA, Eduardo, MENDES, Derrick (2011): Entre Dois Mundos. Emigração e Regresso aos Açores. Governo dos Açores, Secretário Regional da Presidência, Direcção Regional das Comunidades.
SCOTT, Dulce Maria (2009): “Portuguese Americans’ Acculturation, Socioeconomic Integration, and Amalgamation. How far have they advanced?” Sociologia, Problemas e Práticas, nº 61, pp. 41–64. https://sociologiapp.iscte-iul.pt/pdfs/10140/10142.pdf.
TAVARES, Lara P., AZEVEDO, Alda B. (2023): “Portuguese immigrants and descendants: who are they?” In AZEVEDO, Alda B. (coord.) Portuguese immigrants and descendants in the USA in the 21st Century. Lisboa, Fundação Luso-americana para o Desenvolvimento. pp 25-27.
WILLIAMS, Jerry R. (1982): And Yet They Come: Portuguese Immigration from the Azores to the United States. New York, Center for Migration Studies.
AREAS Revista Internacional de Ciencias Sociales, 48/2025 “Migraciones y reproducción social”, pp. 141-163. DOI: https://orcid.org/0000-0002-4506-680X.